Pravdepodobnosť


Pojmy

NP (náhodný pokus) – proces, ktorý vieme opakovať, napr. hod kockou

NJ (náhodný jav) – výsledok pokusu, napr. číslo na kocke

PNJ (množina výsledkov) – všetky možné výsledky pokusu, napr. všetky čísla na kocke


Vzorce

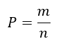
Pravdepodobnosť = pomer chceného javu ku všetkým javom

základný vzorec pre pravdepodobnosť

Pravdepodobnosť disjunktných javov (javy nemajú nič spoločné) = pravdepodobnosť jedného + pravdepodobnosť druhého

vzorec pre pravdepodobnosť pri disjunktných javoch

Nedisjunktných javov (javy majú niečo spoločné) = pravdepodobnosť jedného + pravdepodobnosť druhého – pravdepodobnosť spoločného

vzorec pre pravdepodobnosť nedisjunktných javov

Doplnok náhodného javu – všetko ostatné

vzorec na výpočet doplnku pre pravdepodobnosť

Dobré vedieť:

vzorec, ktorý dokazuje, že súčet pravdepodobnosti chceného javu, a pravdepodobnosť doplnku sa rovná 1

Pravdepodobnosť jedeného a súčasne druhého javu

vzorec na výpočet pravdepodobnosti jedného a súčasne druhého javu

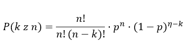
Hlavný vzorec (na väčšinu výpočtov):

vzorec na vypočítanie pravdepodobnosti

n nad k = kombinačné číslo, pričom n je počet pokusov a k počet úspešných pokusov