Geometrické rozdelenie
Opisuje „čakaciu dobu“, kým nenastane úspech, pričom javy predtým boli neúspešné
Pravidlá:
- nezávislosť – pokusy a ich výsledky sa navzájom neovplyvňujú
- identickosť – pravdepodobnosť je rovnaká pre každý pokus
p = pravdepodobnosť úspechu
1-p = pravdepodobnosť neúspechu
n = počet pokusov
P(n) = pravdepodobnosť, že úspech nastal prvýkrát pri n-tom pokuse:

očakávaná priemerná hodnota:

smerodajná odchýlka:

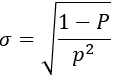
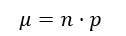
Binomické rozdelenie
Hovorí o počte úspechov v stanovenom počte pokusov
očakávaná priemerná hodnota:

smerodajná odchýlka:

Normálna aproximácia binomického rozdelenia
Z binomického rozdelenia môžeme spraviť normálne ak:


Na osvieženie pamäti o normálnom rozdelení:
